初中数学勾股定理的16种证明方法总结
2025-11-12 06:35 来源:网络 点击:
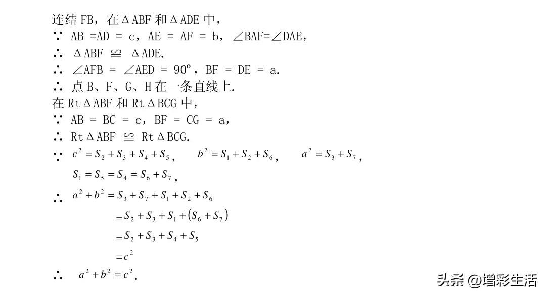
初中数学勾股定理的16种证明方法总结
#头条创作挑战赛#为大家分享的是:初中数学勾股定理的16种证明方法总结,收藏备用!在平时学习和考试答题中提供思路,希望对大家有所帮助。









来源:文章内容图片来自网络,贵在分享交流学习,版权归原作者原出处所有。
相关标签:
-
- 姓氏头像:李、陈、张、邓、吴、刘、黄、赵、范、肖、郭、梁
-
2025-11-12 06:33:43
-
- 六小龄童原名叫什么
-
2025-11-12 06:31:28
-
- 中国人口老龄化的现状和趋势
-
2025-11-12 06:29:13
-
- hkd是什么货币
-
2025-11-12 06:26:58
-
- 开锁原理动图,锁是这样被打开的
-
2025-11-12 06:24:43
-
- 教你一句话怼死别人
-
2025-11-12 06:22:28
-
- 如何成功挽回失望型分手?-专家指导
-
2025-11-12 02:50:32
-
- 基槽(基坑)验收怎么验?验槽包括哪些内容?
-
2025-11-12 02:48:17
-
- 自己提分手后又放不下怎么办 分手后还是放不下对方怎么办 自己提分手却放不下
-
2025-11-12 02:46:02
-
- 好玩的十大微信小游戏(分享七款好玩的微信小游戏)
-
2025-11-12 02:43:47
-
- 戴套和不戴套,女生会有什么感觉?
-
2025-11-12 02:41:32
-
- 一方出轨离婚财产怎么判,应该怎么解决?
-
2025-11-12 02:39:17
-
- 射手座的女生要怎么追求 射手座女生的追求步骤是什么
-
2025-11-12 02:37:02
-
- 关于家暴离婚该如何处理
-
2025-11-12 02:34:48
-
- 装机配置方案详解(小白装机配置指南)
-
2025-11-12 02:32:33
-
- 女人出轨后的异常表现都有哪些?
-
2025-11-12 02:30:18
-
- 桑葚泡酒的功效和作用 ,一斤桑葚泡几斤白酒
-
2025-11-11 22:58:18
-
- 啪啪啪中最令女生难忘的第一次是怎样的?
-
2025-11-11 22:56:03
-
- 男生对你有好感的十个明显举动,你是否注意到了?
-
2025-11-11 22:53:47
-
- 婚姻是将就过还是选择离婚
-
2025-11-11 22:51:33



美国式禁忌一共四集,这是一部留给美国人自己反省的伦理道德大片
最新韩国电视剧(排名不分先后2025年韩剧必看指南)
认干亲到底好还是不好 认干亲有什么忌讳吗
盘点!顾了之合集(9本):《你是迟来的欢喜》《咬定卿卿不放松》
世界十大恐怖童谣,血腥玛丽用2800少女的血驻颜
井川里予黑料 改名风波后,又被爆私生活混乱
高台最新人事任免
母女二人“共侍一夫”,只因缺爱
李小璐详细交代了当晚与PGOne的经过,结果跟大家想的一样!
科普:毒液共生体全图鉴,带你认识炫酷毒液的一家子