2024年上海市普通高校招生专科投档分数线公布
2026-01-08 20:51 来源:网络 点击:
2024年上海市普通高校招生专科投档分数线公布
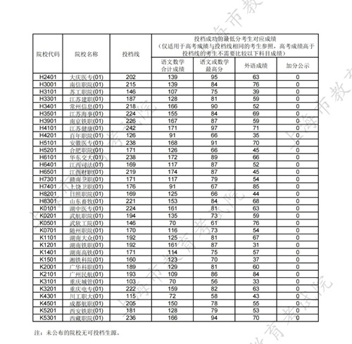
日前,2024年上海市普通高校招生专科普通批次平行志愿院校投档分数线与专科艺体类批次院校(类别)投档分数线均已公布。一起来看——
专科普通批次


专科艺体类批次
01 美术与设计类

02 表(导)演类—戏剧影视表演方向

03 播音与主持类

04 音乐类(音乐表演类—声乐方向)

05 音乐类(音乐表演类—器乐方向)

06 舞蹈类

07 体育批次

相关标签:
-
- 【手写情书简约壁纸】情书壁纸 右下角已阅
-
2026-01-08 20:49:21
-
- 广西桂林:日暮洋紫荆 醉美遇龙河
-
2026-01-08 20:47:07
-
- 钢制板式散热器的特点和优势
-
2026-01-08 20:44:53
-
- 电力公司警告纽约或再次停电 时间可能更长
-
2026-01-08 20:42:38
-
- 小米MIUI8稳定版
-
2026-01-08 20:40:24
-
- 武汉市高温“愈演愈烈”,局地可达40℃+
-
2026-01-08 20:38:10
-
- 导演陈思诚,传来喜讯!
-
2026-01-08 14:25:57
-
- 雪景多图来袭,湖南这么多地方都下雪啦!你家乡下雪了没?
-
2026-01-08 14:23:42
-
- 如何打破美国的C型包围圈!
-
2026-01-08 14:21:28
-
- 青州市:范公亭公园夏意浓
-
2026-01-08 14:19:14
-
- 抗日女英雄姚英
-
2026-01-08 14:16:59
-
- 华中首座英迪格酒店,藏在梅溪湖这一豪宅里
-
2026-01-08 14:14:45
-
- 葫芦花为雌雄花,娇嫩可爱语纯洁
-
2026-01-08 14:12:31
-
- 大理:蝴蝶泉
-
2026-01-08 14:10:16
-
- 川航3U8633航班“5·14”事件调查报告出炉
-
2026-01-08 14:08:02
-
- 超漂亮超喜庆的十二生肖头像图:鸿运当头 红红火火 喜气洋洋
-
2026-01-08 14:05:48
-
- 安卓8.0正式版发布时间曝光:8月中上旬
-
2026-01-08 12:27:22
-
- 这瓶贵州茅台酿酒厂生产的“人民公社”酒,定能引起你满满的回忆
-
2026-01-08 12:25:07
-
- 易子而食——战乱之下底层民众的悲惨生活
-
2026-01-08 12:22:53
-
- 屋翳穴:降逆化痰,止咳平喘,活络通乳
-
2026-01-08 12:20:39



美国式禁忌一共四集,这是一部留给美国人自己反省的伦理道德大片
最新韩国电视剧(排名不分先后2025年韩剧必看指南)
盘点!顾了之合集(9本):《你是迟来的欢喜》《咬定卿卿不放松》
井川里予黑料 改名风波后,又被爆私生活混乱
儿子过生日妈妈送什么礼物好
认干亲到底好还是不好 认干亲有什么忌讳吗
世界十大恐怖童谣,血腥玛丽用2800少女的血驻颜
母女二人“共侍一夫”,只因缺爱
2023年世界上最有钱的十座城市,里面每一个人都是百万富翁!
Po文~《叛城》作者:弃吴钩